Niepełnosprawny z j. angielskim szuka pracy w ochronie
Warszawa / Targówek Pokaż na mapie ›
Odświeżone: Wtorek, 09 Grudzień, 2025 07:15
Szczegóły ogłoszenia
- Kategoria: Szukam pracy / Stałej
- Wykształcenie:Wyższe
- Płaca brutto min.:4666 zł
- Płaca brutto max.:4666 zł
- Rok urodzenia:1976
- Prawo jazdy:B
- Branża:Ochrona
Opis oferty
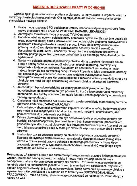
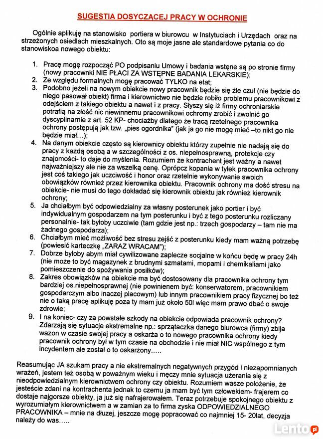
Witam;Jestem Sylwester lat 49 z II grupą niepełnosprawności jestem po studiach inżynierskich, ukończyłem wiele kursów biurowych jak również zawodowych. Za swoich czasów jako pracownik ochrony zostałem przeszkolony z tzw. "centralki przeciwpożarowej" oraz jestem specjalistą od monitoringu. Poza tym znam komunikatywnie j. angielski i mógłbym się i w tym zakresie przydać. Ostatnią pracą jaką wykonywałem to byłem jako serwisant kas automatycznych i urządzeń wjazdowych oraz byłem również kasjerem na parkingu. Szukam pracy jako portier a informację dotyczące stanowiska zamieściłem w Załączniku. Proszę o przemyślany kontakt bo ja szukam uczciwej pracy z uczciwym pracodawcą który nie tylko uczciwie płaci ale też ma uczciwe obiekty z uczciwymi warunkami formalno- prawnymi. W zamian za to taki pracodawca może mieć rzetelnego i stałego pracownika. Zapraszam więc do kontaktu: Sylwester Bogus- tel.: 0668938916, pozdrawiam.
Sylwester
Konto prywatne
Na Lento.pl od 23 mar 2021
Odpowiada szybko
Online: 29 minut temu
Strona użytkownika
- Wypromuj ogłoszenie
- Zgłoś naruszenie
- Drukuj ulotkę
- Edytuj/usuń ogłoszenie
- Udostępnij ogłoszenie
- Dodaj na Facebook
































